Volume 16, Issue 1 (March 2019)                   IJMSE 2019, 16(1): 39-48 | Back to browse issues page


XML Print


Download citation:
BibTeX | RIS | EndNote | Medlars | ProCite | Reference Manager | RefWorks
Send citation to:

Yazdani N, Javadpour J, Eftekhari Yekta B, Hamrang M. Hydrothermal Synthesis of Cobalt- Doped Hydroxyapatite Nanoparticles: Structure, Magnetic Behaviour, Bioactivity and Antibacterial Activity. IJMSE 2019; 16 (1) :39-48
URL: http://ijmse.iust.ac.ir/article-1-1067-en.html
Abstract:   (29515 Views)
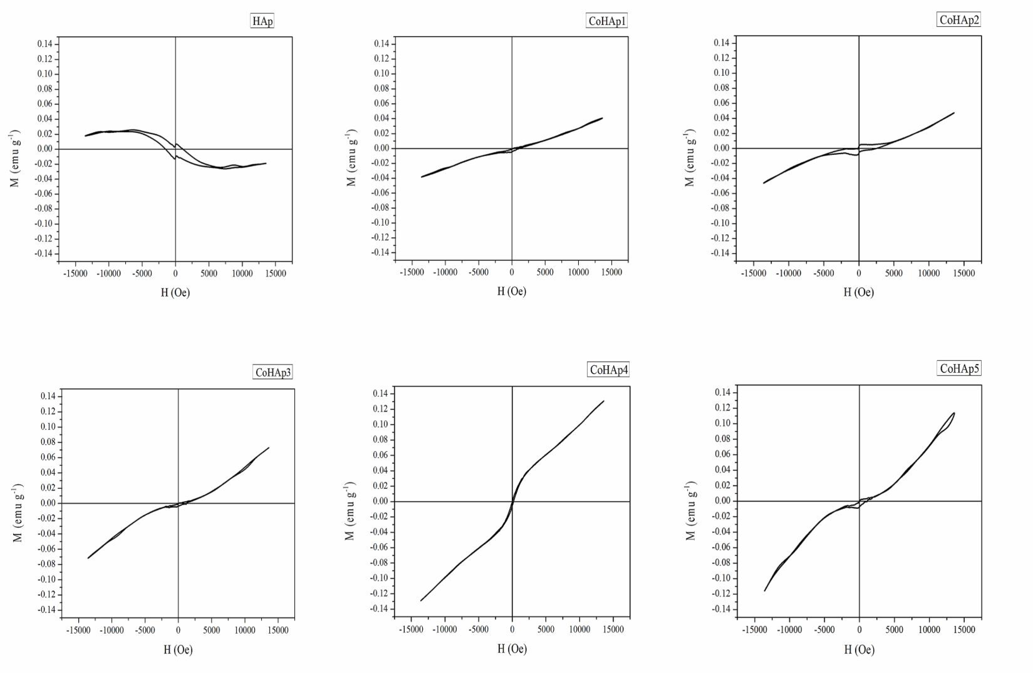
This study focuses on the physical, magnetic, biological and antibacterial behaviour of cobalt-doped HAp powder samples. Pure and Cobalt- doped HAp nanoparticles were synthesized by hydrothermal method. Calcium nitrate, di- ammonium hydrogen phosphate and cobalt nitrate were used as precursor materials.  The synthesized powders were characterized using x-ray diffraction pattern (XRD), fourier transform infrared spectroscopy (FTIR), field emission scanning electron microscopy (FESEM), vibrating sample magnetometer (VSM), Raman spectroscopy as well as MTT assay and cell adhesion test. Disc diffusion method was used to investigate antibacterial activity of the samples. The results confirmed the substitution of Ca by Co ions in the HAp lattice. In addition, this substitution induced size reduction and morphology change in HAp particles. All cobalt substituted HAp powder samples displayed paramagnetic properties, as opposed to the diamagnetic behaviour observed in the pure HAp samples. In addition, these nanoparticles exhibited cell adhesion, biocompatibility and antibacterial activity against S.aureus bacteria.
This study focuses on the physical, magnetic, biological and antibacterial behaviour of cobalt-doped HAp powder samples. Pure and Cobalt- doped HAp nanoparticles were synthesized by hydrothermal method. Calcium nitrate, di- ammonium hydrogen phosphate and cobalt nitrate were used as precursor materials.  The synthesized powders were characterized using x-ray diffraction pattern (XRD), fourier transform infrared spectroscopy (FTIR), field emission scanning electron microscopy (FESEM), vibrating sample magnetometer (VSM), Raman spectroscopy as well as MTT assay and cell adhesion test. Disc diffusion method was used to investigate antibacterial activity of the samples. The results confirmed the substitution of Ca by Co ions in the HAp lattice. In addition, this substitution induced size reduction and morphology change in HAp particles. All cobalt substituted HAp powder samples displayed paramagnetic properties, as opposed to the diamagnetic behaviour observed in the pure HAp samples. In addition, these nanoparticles exhibited cell adhesion, biocompatibility and antibacterial activity against S.aureus bacteria.
Full-Text [PDF 1010 kb]   (7760 Downloads)    

Add your comments about this article : Your username or Email:
CAPTCHA

Send email to the article author


Rights and permissions
Creative Commons License This work is licensed under a Creative Commons Attribution-NonCommercial 4.0 International License.

© 2022 All Rights Reserved | Iranian Journal of Materials Science and Engineering

Designed & Developed by : Yektaweb